Тендеры под ключ |
Большой опыт работы в имущественных торгах. Покупка, аренда жилых/не жилых зданий, помещений.
Окажу содействие в 100% выигрыше объектов ГУП СППМ напрямую взаимодействую с руководителем учреждения, руководителем договорного отдела и со всеми заинтересованными лицами.
При необходимости возьму под контроль дальнейшее сопровождение договора.
Есть возможность зайти на объекты с действующим арендатором по предварительной договорённости, все обсуждения при встрече.
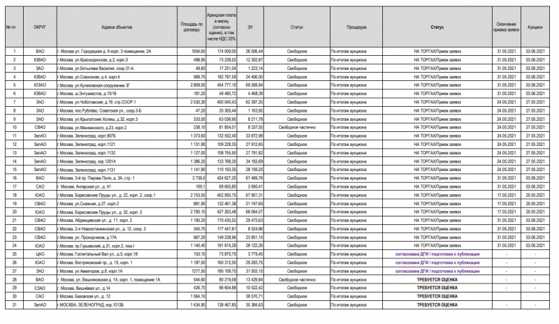
Список доступных объектов указан на фото, связь через what sapp Сергей Викторович 926 510. 2002
   |
| Цена: | 1 руб. |
| Контактное лицо: | Сергей Викторович Ветошкин |
| Город: | Москва |
| Телефон: | 89688759556 |
| Дата: | 14.09.2025, 10:56:25 |